台州市2022年4月高三年级教学质量评估技术试题答案
台州市2022年4月高三年级教学质量评估技术试题答案,目前我们已经整理了台州市2022年4月高三年级教学质量评估技术试题答案的各科答案和试卷,更多试卷答案请关注本答案网。

11.B【命题意图】本题考查程序框图中的循环结构、数列求和,体现了逻辑推理、数学运算、数学抽象等核心素养【解析】该程序框图的目的是求数列1(-1)1·(2n-3)2}的前n项和Sn设an=(-1)·(2n-3)由通项公式可知,a1=1,an+an1=(-1)"8(n-1)∴S2-1=a1+(a2+a3)+(a4+a5)+…+(a212+1)=1+8+24+…1+8(2n-3)=8(n-1)2S2n=(a1+a2)+(a1+a4)+…+(a2n1+a2)=0+(-16)+…+(-1)28(2n-2)=-8n(n-1)∵S=201=8×(6-1)2+1,i=2×6-1=11时满足条件,=12时不满足条件,判断框中的条件是i>11.故选B




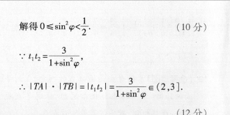
20.【命题意图】本题考查椭圓的标准方程、直线与椭圆的位置关系,考查数形结合思想、转化与化归思想、函数与方程思想,体现了逻辑推理、数学运算、直观想象等核心素养【解】(1)由题意,得c=√3分)当a≠0,B≠0时,sina+inB=√2sin(a+B),∴由正弦定理,得PF1+PF2=√2|F1F2|=√2×23=26,2a=26,即a=√63分)∴b2=a2-c2=6-3=3,∴椭圆C的方程为+3=1(4分)当a=0,B=T或a=丌,B=0时,满足上式故椭圆C的方程为x+=1.(5分)(2)方法一由题意,得直线l的斜率存在设直线l的方程为y=k(x+3),A(x1,y1),B(x2,y2)消去y并整理=k(x+3)得(1+2k2)x2+12k2x+18k2-6=0(6分)由△=(12k2)2-4(1+2k2)(18k2-6)>0,得-1





