2021-2022 英语周报 高二 新课程第23期答案
2021-2022 英语周报 高二 新课程第23期答案,目前我们已经整理了2021-2022 英语周报 高二 新课程第23期答案的各科答案和试卷,更多试卷答案请关注本答案网。

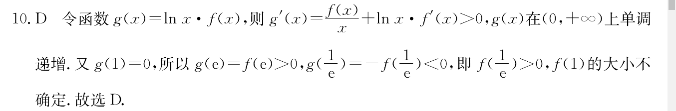
10.D令函数g(x)=lnx·f(x),则g′(x)=f(x)lnx·f(x)>0,g(x)在(0,+∞)上单调递增.又g(1)=0,所以g(e)=f(e)>0,g()=-f(-)<0,即f()>0,f(1)的大小不确定.故选D


得分)7.D【解析】“全用写实手法”错,应该是“采用虚实结合兼以联想的手法8.①诗人以冻雀自喻(或者托物言志),写冻雀生活环境寒冷荒凉,以凄厉的惨叫来表达对环境的抗争,表达了诗人不甘堕落官场的孤傲。(手法1分,内容效果分析2分,共3分)②诗人怀古联想(或者运用典故),写三归台旁纪念管仲历史功绩的古碑已湮没于荒草之中,英雄项羽功业未成乌江自刎,仍以石马的嘶鸣表达不甘被命运征服的高傲,从而表达了诗人鄙弃功名、睥睨官场的情怀。(手法1分,内容效果分析2分,共3分)(意思答对即可,如有其他答案,可酌情给分)分





