卷行天下数学周测卷六答案
卷行天下数学周测卷六答案 ,目前我们已经整理了卷行天下数学周测卷六答案 的各科答案和试卷,更多试卷答案请关注本答案网。


17.解:因为-2∈A,所以有a-1=-2,或2a2+5a+1=-2,显然a2+1≠-2,当a-1=-2时,a=-1,此时a-1=2a2+5a+1=一2不符合集合元素的互异性,故舍去;(4分)当2a2+5a+1=一2时,解得a=-号,a=-1,故由上3可知a=一1不符合集合元素的互异性,舍去,(8分)故a=一3(10分)


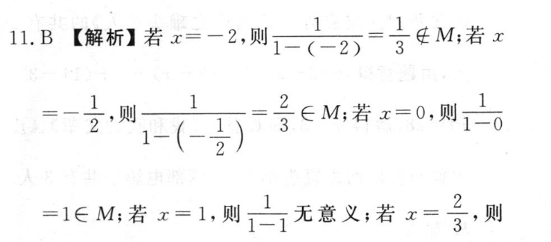
11.B【解】若x=-2,则-=M;若x1号∈M:若x=0,则亡0=1EM:若x=1,则吕无意义:若x=3,则11-2=3∈M:若x=3,则己3=-合∈M则“和3谐集”只有{-号号3故选B





