衡水金卷先享题 2022-2023学年度高三一轮复习摸底测试卷 摸底卷(河北专版) 历史(一)1答案
衡水金卷先享题 2022-2023学年度高三一轮复习摸底测试卷 摸底卷(河北专版) 历史(一)1答案,目前我们已经整理了衡水金卷先享题 2022-2023学年度高三一轮复习摸底测试卷 摸底卷(河北专版) 历史(一)1答案的各科答案和试卷,更多试卷答案请关注本答案网。


【答案】B【解析】作出函数f(x)的图象如图所示,令f(x)=t,当m>1时,由f(f(x)=m,得方程f(t)=m只有一解,且t1∈(一1,0),由函数图象可知,方程f(x)=t1无解,所以方程f(f(x)=m无解,即函数g(x)无零点,不符合题意;当m=1时,由f(f(x)=1,得方程f(t)=m有两解,且t2∈(一1,0),t3=1,由函数图象可知,方程f(x)=t2无解,f(x)=t3只有两解,所以方程f(f(x))=1只有两解,即函数g(x)有两个零点,不符合题意;当0

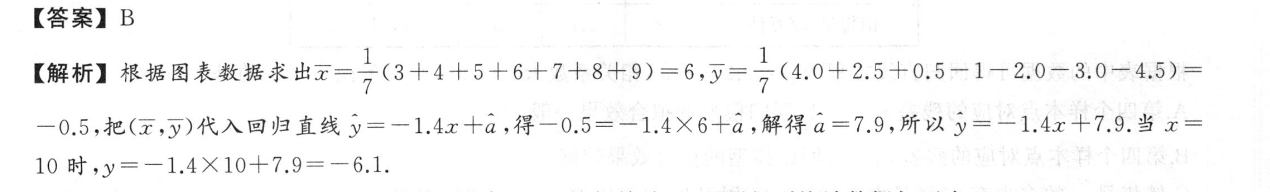
【答案】B【解析】根据图表数据求出x=7(3+4+5+6+7+8+9)=6,y=7(4.0+2.5+0.5-1-2.0-3.0一4.5)=7-0.5,把(x,y)代入回归直线y=一1.4x十a,得-0.5=-1.4×6+a,解得a=7.9,所以y=一1.4x+7.9.当x=10时,y=-1.4×10+7.9=-6.1.





