焦作市普通高中2022-2023学年(上)高三年级期中考试化学答案
焦作市普通高中2022-2023学年(上)高三年级期中考试化学答案,目前我们已经整理了焦作市普通高中2022-2023学年(上)高三年级期中考试化学答案的各科答案和试卷,更多试卷答案请关注本答案网。




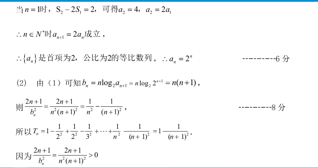
义因为=1a1,所以子<----12分20.【答案】(1)an=2”(2)见详解【解析】若选择条件①:因为4”1-42a1+22a2+2a3+.…+2Yan=3当m≥2时,2a+2a+2a,++2'0-1=34"”-44m1-44”-4两式相减得2”a=3=4”,3所以当n≥2时a,=2”,当n=1时符合,∴.an=2”若选择条件②:因为Sn=2an-2,当n≥2时Sn1=2an-1-2,两式相减得an=2an-1,a1=2≠0,∴.{an}是首项为2,公比为2的等比数列,an=2”若选择条件③:Sn+1-2Sn=2.n≥2时,Sn-2Sn-1=2两式相减得an1=2an,当n=1时,S2-2S=2,可得a2=4,a2=2a∴.n∈W时an1=2an成立,.{an}是首项为2,公比为2的等比数列,∴.an=2”----6分(2)由(1)可知bn=nlog2am+1=nlog22m1=n(n+1),2n+12n+111则6a+Fn+’----8分所以工=1-2京+-12n+12n+1因为公=rm+疗>0





综上①②得c=V6.19.【答案】(1)c0sC-(2)V6【详解】(1)解法一:因为a(2-cosC)=c(2cosB+c0sA).所以sinA(2-cosC)=sinC(2cosB+cosA),整理得2sinA=sin Ccos A+sin Acos C+2 sin Ccos B=sin(A+C)+2 sin Ccos B,所以2sin(B+C)=sin(A+C)+2 sin Ccos B,2sin Bcos C+2sin Ccos B=sin(A+C)+2sin Ccos B2sin Bcos C=sin(A+C)=sin B因为sinB>0,所以cosC=解法二:a(2-cos C)=c(2cos B+cos A)2a-a cosC 2c cos B+ccosA2a -2ccos B a cos C+c cos A即2a一2 c cos B=b,(射影定理)即2a-2c·2+2-b=b,(余弦定理)2ac即a2+b2-c2=ab,即cosC=·-----5分2(2)因为sin(A-B)=2sin2B-sin(A+B)sin(A+B)+sin(A-B)=2sin 2Bsin A cos B+cos A sin B+sin A cos B-cos A sin B 4 sin B cos B,整理得sin Acos B=2 sin Bcos B’------7分①当B=7时,cosB=0,C=胥4=名,此时S=c=V3,且c=a,π2解得c=√6:----9分②当cosB≠0时,sinA=2sinB,由正弦定理得a=2b,此时s=号ab sin C=5×2b2=V3,解得b=√2,a=2√2,由余弦定理得c2=a2+b2-2 abcosC=(2V2+(V2)-2×2W2×V2×号=6,解得c=V6.------11分





