河北省2022-2023高一年级上学期期中考试(002A HEB)英语试题 答案
河北省2022-2023高一年级上学期期中考试(002A HEB)英语试题 答案,目前我们已经整理了河北省2022-2023高一年级上学期期中考试(002A HEB)英语试题 答案的各科答案和试卷,更多试卷答案请关注本答案网。

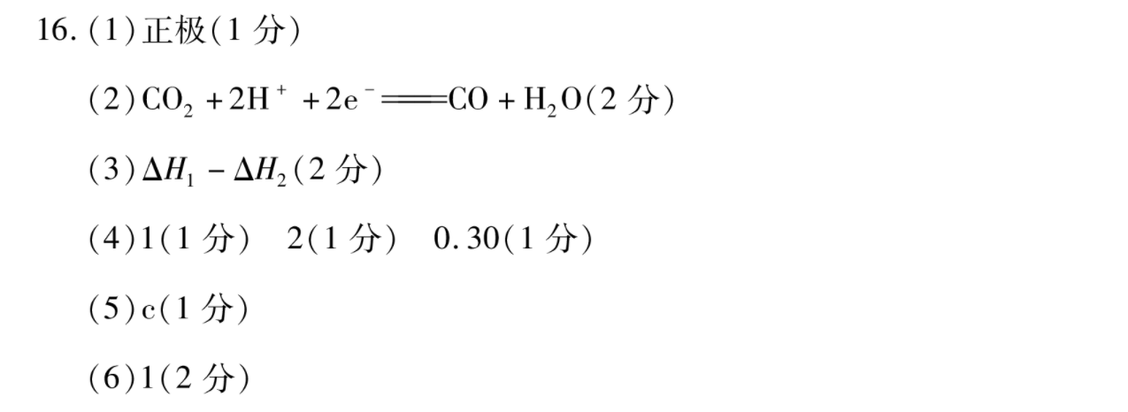
16.(1)正极(1分)(2)C02+2H++2eˉ=C0+H,0(2分)(3)△H1-△H2(2分)(4)1(1分)2(1分)0.30(1分)(5)c(1分)(6)1(2分)

47.【答案封建君主专制、君主立宪、社会主义2)主观:杨度个人与时俱进,不断更新观念客观:外部思想文化传入中国并得到宣传发展,李大钊等历史人物的影响解析】第一问从材料中概括,按时间顺序表述:第二问从主、客观两方面概括





