2023届智慧上进 高考适应性综合检测月考卷(二)2文科综合试题答案
2023届智慧上进 高考适应性综合检测月考卷(二)2文科综合试题答案,目前我们已经整理了2023届智慧上进 高考适应性综合检测月考卷(二)2文科综合试题答案的各科答案和试卷,更多试卷答案请关注本答案网。


3.C【命题意图】本题以杜甫和辛弃疾的诗词为切入点,考查唐宋时期的文学,考查考生获取材料有效信息,比较和分析历史问题的能力,体现了时空观念、历史解释等历史学科核心素养。【解析】杜甫的诗歌展现了唐人注重山川气象的特点,以及积极进取的人生态度;辛弃疾的词反映了宋人追求人文意象、筋骨思理。这一差异反映了唐宋社会文风存在差异,故C项正确。材料未体现唐宋诗歌的继承与发展,排除A项。这两首诗词未涉及三教合流,排除B项。D项表述与材料无关,排除。




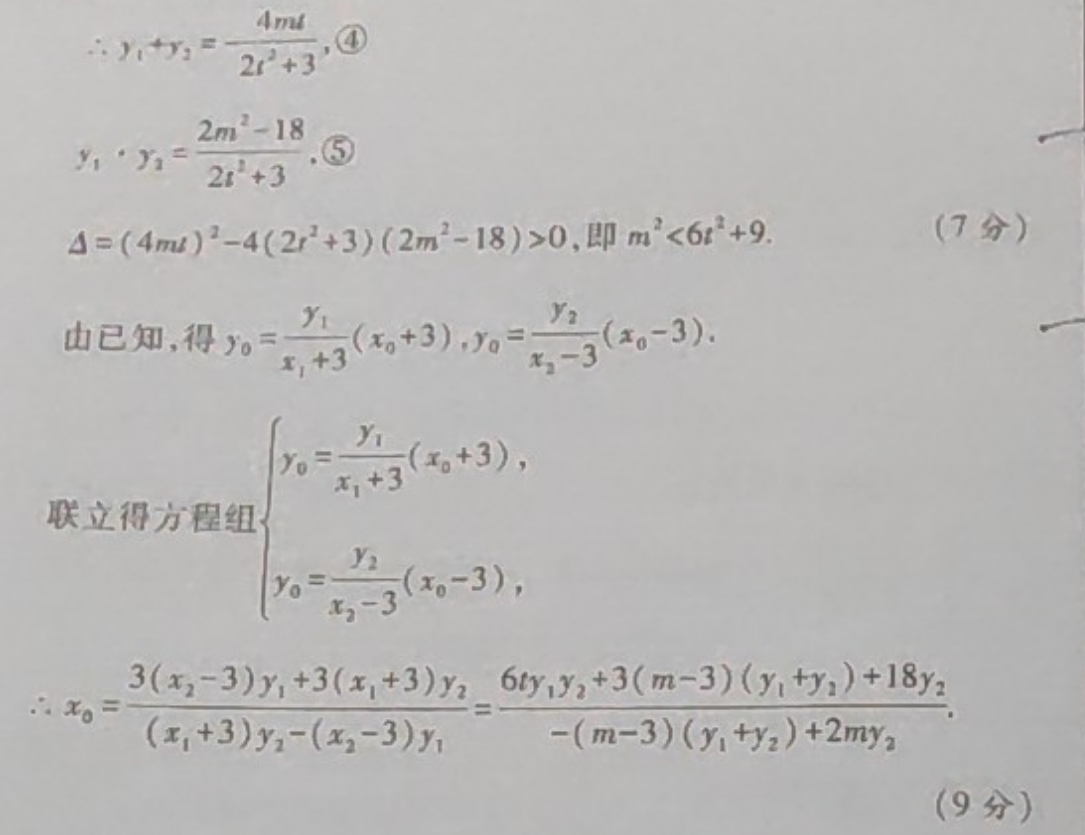
20.(本题共12分)】【解1(D依题意,得·26,2=2k=62,k=32.①1分)1FF22,1B,B212,1A,A,12成等差数列,2·(2b)2=(2c)2+(2a)2,即2b2=a2+c2.②(2分)又a2=b2+c2,③.由①②③,得a=3,b=√6,c=√3,(3分)三舞置C的标准方程为号名1(4分)(2)P,Q两点横坐标之积为定值9.理由如下:(5分)设P(xy),M(x1,1),N(x2,y2)由已知可得直线MW的斜率存在且不为O,设直线MW的方程为x=y+m,则Q(m,0).x=ty+m,由消去x,得(22+3)y2+4my+2m2-18=0,(6分)=14miy+y=2m2-184=(4m)2-4(22+3)(2m2-18)>0,即m°<62+9由已知,得本33)03》联立得方程组-:xo=(x-3)y,+3(x1+3)y26y2+3(m-3)(y1+y)+18y2(x,+3)y2-(x2-3)为1-(m-3)(y,+y2)+2my2(9分)6t.-4mt+18y2把④和⑤代人上式,得x,=2+3-(a-32+2:2可(11分)m六,·)=。·m=9m=9,即P,Q两点横坐标之积为定值9(12分)





