NT2022-2023学年高三第一学期第一次阶段测试卷(全国卷)地理答案
NT2022-2023学年高三第一学期第一次阶段测试卷(全国卷)地理答案,目前我们已经整理了NT2022-2023学年高三第一学期第一次阶段测试卷(全国卷)地理答案的各科答案和试卷,更多试卷答案请关注本答案网。


12.(25分)(1)HC0+HOH:C0+OH-(3分)4×10-3(3分)(2)①2C-2eCl2↑(3分)②阴(2分)CaCO.Mg(OH):(4分)③b(2分)(3)li(2分)LiFePO-e一FePO+Li(3分)(4)1:5(3分)【解析】(1)海水中含有碳酸氢根离子,水解显碱性,离子方程式为HCO+HO一HCO,十OH,根据表中数据可知该海水中C+的物质的量浓度为0g9点g=4X10mmlL(2)①电解池中阳极失去电子,发生氧化反应,因此开始时是海水中的氯离子放电,阳极的电极反应式为2C1-2eCl↑.②由于阴极是氢离子放电生成氢气,从而在阴极产生OH,OH与镁离子结合生成Mg(OH)z,产生的OH还能与HCO,反应生成C房,因此还有碳酸钙沉淀产生,则电解一段时间,阴极会产生水垢,其成分为CaCO和Mg(OH)a。③在外加电流的作用下海水中的阴阳离子分别通过阴离子交换膜和阳离子交换膜移动,从而使1个间隔室的海水被淡化,而相邻间隔室的海水被浓缩,则根据装置图可知a和©是被浓缩的海水,则淡水的出口为b口。(3)由题意可知锂是该电池的负极,失去电子,L向正极移动。则左图中的小黑点表示L。充电是放电的逆反应,即该电极是阳极,阳极失去电子,则充电时该电极的电极反应式为LiFePO一eFePO,+Li*.(4)假设反应中得到1mol高锰酸钾,则由锰酸钾转化为高锰酸钾时锰元素的化合价从+6价升高到十7价,失去1mol电子,则需要氯气0.5mol,得到1mol锰酸钾,其中锰元素的化合价从十4价升高到十6价,失去2m©l电子。则根据得失电子守恒可知需要氧气是0,5mol,因此氯气与氧气的体积之比是11,又因为氧气在空气中的体积分数是0.2,因此氯气与空气的体积之比为15,



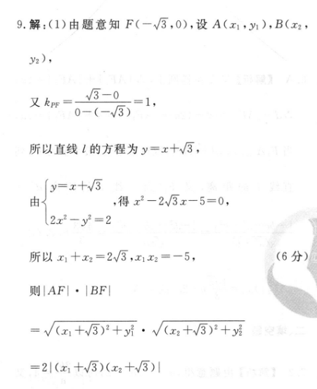
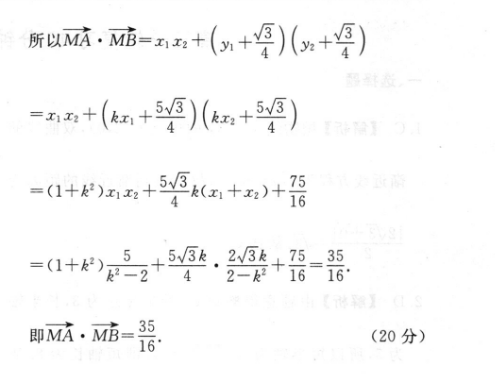
9.解:(1)由题意知F(一√3,0),设A(x1,y1),B(x2,y2),又kr=3-00-(-√3)所以直线l的方程为y=x十√,y=x十√3由,得x2-23x-5=0,2x2-y2=2所以x1十x2=2/3,x1x2=-5,(6分)则|AF·IBF=√(x1十3)2+y听·√(x2十3)2+=2|(x+√3)(x2十√3)川=2|(x1+3)(x2+√3)川=2|x1x2十√3(x1十x2)+3=2×|-5+√3×2wW3+3|=8.(10分)(2)由题意知直线L的斜率存在,不妨设直线:y=kx+√5,y=kx十√3由,可得(k2-2)x2+2√3kx+5=0,2x2-y2=2所以西十=号作西取22√3k5(14分)则i=(+),M=(+),>所以Mi.Mi=+(n+)(+)=+(kx+5)(k+5)=1+)a+55(+)+得=++2√3k75_354·2-十166即M·M店=器。(20分)





