名校大联考·2023届普通高中名校联考信息卷(月考三)物理试题 答案
名校大联考·2023届普通高中名校联考信息卷(月考三)物理试题 答案,目前我们已经整理了名校大联考·2023届普通高中名校联考信息卷(月考三)物理试题 答案的各科答案和试卷,更多试卷答案请关注本答案网。

4.C【解析】由sin(3π十a)=-号,可得-sin a=长面1sin a=3,则cos(受-牙)=1+2故选C.222

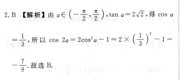
2.B【解析】由a∈(-受,受),tana=22,得cosa=号,所以cos2a=26sa-1=2×(号)-1=日故选B





