天一大联考·安徽卓越县中联盟 2022-2023学年(上)高二年级阶段性测试(期中)地理试题答案
天一大联考·安徽卓越县中联盟 2022-2023学年(上)高二年级阶段性测试(期中)地理试题答案,目前我们已经整理了天一大联考·安徽卓越县中联盟 2022-2023学年(上)高二年级阶段性测试(期中)地理试题答案的各科答案和试卷,更多试卷答案请关注本答案网。


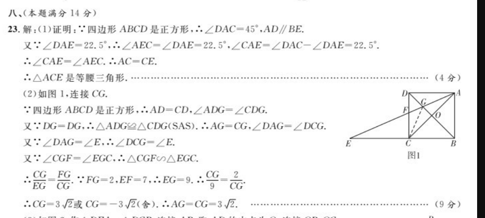
八、(本题满分14分)23.解:(1)证明:,四边形ABCD是正方形,∴.∠DAC=45°,AD∥BE.又,∠DAE=22.5°,∴.∠AEC=∠DAE=22.5°,∠CAE=∠DAC-∠DAE=22.5°.∴.∠CAE=∠AEC..AC=CE△ACE是等腰三角形。………………………………………………………(4分)(2)如图1,连接CG.,四边形ABCD是正方形,.AD=CD,∠ADG=∠CDG又'DG=DG,∴.△ADG≌△CDG(SAS).∴.AG=CG,∠DAG=∠DCG.又.'∠DAG=∠E,.∠DCG=∠E又.'∠CGF=∠EGC,∴.△CGF∽△EGC.图1器-器PG-2EF-7BG-9.9-9CG∴.CG=32或CG=-32(舍)..AG=CG=3√2.0++t040+t+。00年卡。卡+。4+。+。。++0卡t+。0+。+0t。++。t4+。。t年(9分)(3)如图2,作△DEAc∽△DCP,连接AP,取AD的中点为O,连接OP,OC.P-B0∠EDA-∠CDP.∴∠EDC-∠ADP.∴△ECD△APD,六∠APD=∠ECD=90.OP=AD.设OP=x,则AD=CD=2x,OC=√5xBCP≤OC+OP,∴.CP的最大值为5x十x,图2:△DEAO△DCP,能-品需的最大值为型“能的最大值为出2

七、(本题满分12分)22.解:(1),抛物线y=一x2一3ax十1的图象经过点A(1,3),,,一1一3a十1=3,解得a=一1.………………………………………(3分)(2:y-F+3x十1-(一号)广+是a-1<0.抛物线开日向下,一(一1)2+3×(一1)+1 <一22+3×2+1,.当x=一1时,y取最小值为一3又“当x-多时y取最大值为品.“当-1≤≤2时y的取值范围为-3≤<是。………(7分)(3),平移抛物线y=一x2+3r十1,其顶点仍在二次函数y=一2x2十x+1上,∴.设平移后的抛物线的解析式为y=一(x一h)2一2h2+h+1=一x2+2hx一h2一2h2+h十1=一x2+2hx-3h2+h+1.设平移后所得抛物线与y轴交点的纵坐标为0,则0=一3张+h十1=-3(么-合)广+是13∴当h=6时,平移后所得抛物线与y轴交点纵坐标的最大值为2(12分)< p>一22+3×2+1,.当x=一1时,y取最小值为一3又“当x-多时y取最大值为品.“当-1≤≤2时y的取值范围为-3≤<是。………(7分)(3),平移抛物线y=一x2+3r十1,其顶点仍在二次函数y=一2x2十x+1上,∴.设平移后的抛物线的解析式为y=一(x一h)2一2h2+h+1=一x2+2hx一h2一2h2+h十1=一x2+2hx-3h2+h+1.设平移后所得抛物线与y轴交点的纵坐标为0,则0=一3张+h十1=-3(么-合)广+是13∴当h=6时,平移后所得抛物线与y轴交点纵坐标的最大值为2(12分)<>





