陕西益卷 2022~2023学年度九年级第一学期期中检测试题(卷)物理C(苏科版)试题答案
陕西益卷 2022~2023学年度九年级第一学期期中检测试题(卷)物理C(苏科版)试题答案,目前我们已经整理了陕西益卷 2022~2023学年度九年级第一学期期中检测试题(卷)物理C(苏科版)试题答案的各科答案和试卷,更多试卷答案请关注本答案网。
ACD
ACD



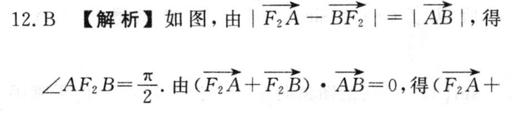
12.B【解析】如图,由|F2A一BF2|=IAB|,得∠AF,B=受.由(FA+FB)·A店=0,得(FaA+F2B)·(F2A-F2B)=0,即1F2A1=|F2B1,所以△ABF2为等腰直角三角形,设|AF2|=|BF2=m,根据双曲线的定义有|AF2|-|AF1|=|BF1||BF2|=2a,所以|AF1|=m-2a,|BF1|=m+2a,又|AB|=|BF1|-|AF1=4a=√2m,所以|BF1I=(2+2√2)a,BF2|=2√2a.在△BFF2中,由余弦定理得|F1F2|2=4c2=(2+2√2)2a2+8a2-2×22a×(2+22)ac0s年-12a2,解得c=3a,故离心率为。=√3.故选B.4BAFF





