陕西益卷 2022~2023学年度九年级第一学期期中检测试题(卷)化学C(科粤版)试题答案
陕西益卷 2022~2023学年度九年级第一学期期中检测试题(卷)化学C(科粤版)试题答案,目前我们已经整理了陕西益卷 2022~2023学年度九年级第一学期期中检测试题(卷)化学C(科粤版)试题答案的各科答案和试卷,更多试卷答案请关注本答案网。


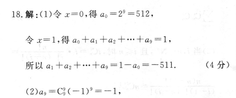
18.解:(1)令x=0,得ao=2°=512,令x=1,得a0+a1十a2十…十ag=1,所以a1+a2+…+ag=1-ao=-511.(4分)(2)ag=C9(-1)9=-1,令x=3,得a0十3a1+32a2十…十38ag+39ag=-1,所以a0+3a1+32a2+…+38a8=-1+39=19682.(8分)(3).在(2一x)9的展开式中,a0,a2,a4,a6,ag都大于零,而a1,a3,a5,a7,ag都小于零,∴.aol+|a1|+|a2|+…+|ag|=ao-a1+a2-a3+…十a8-ag=[2-(-1)]9=3°.∴.ao|+a1|+a2|+…+|ag|-3°=0.(12分)






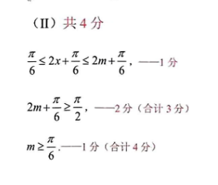
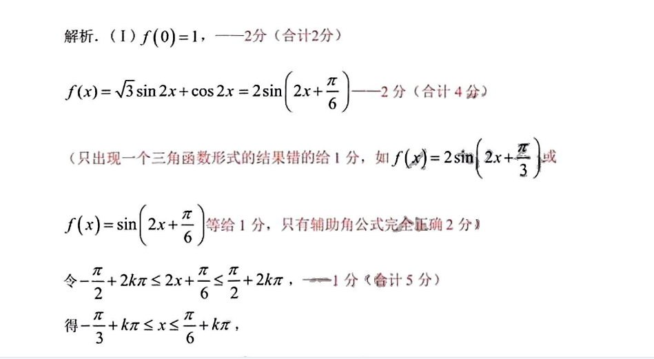
(Ⅱ)共4分君2x+52m+后一1分、π2m+622,一2分(合计3分)m≥石一1分(合计4分)解析.(I)f(0)=1,一2分(合计2分)f)=5sim2x+cos2x=2sn2x+-2分(合计4分)(风出现一个三角函数形式的结果错的给1分,如/儿闭=2s2x+号}度(x)=sin2x+君等给1分,只有辅助角公式完金正确2分》令-7+2km≤2x+若≤7+2kr,-1分合计5分)62ππ得-号+kπ≤x≤石+kπ,6即/八)的单调选端区间为[-号+,君+k幻]ke)一1分(合计6分》【第一问在(x)解析式球错的情况下,单调递增区间求对的情况,单调区间这部分给1分.如f(0)=1,-2分fW=5sm2x+cos2r=2sn2x+写一1分令受+2标≤2x+肾5号+2,一1分2得+k≤x≤石+k,1212即∫(x)的单调递增区间为铝+c音e2上面的解答第一问总共是给4分.f-2sn2x+号当xe[0,m]时,π5≤2x+6≤2m+5,一1分6π、π当2m+二2二时,—2分(合计3分)6-2π即m≥6时.一1分(合计4分)【第二问在f(x)解析式求错的情况下,m的范围求对的情况,酌情给分,最多给2分.】比如:若第一问求得(=2sim2x+写当x∈[0,m时,52x+肾2m+π当2m+写之受时即m治时一分人(-(侣}2上面的解答第二间总共是给2分()共6分f(0)=1一-2分f=22x+引—2分(只出现一个三角函数形式一一1分,辅助角公式完全正确一一2分)[晋+a名+e2)—2分





