陕西益卷 2022~2023学年度九年级第一学期期中检测试题(卷)英语A(统编版)答案
陕西益卷 2022~2023学年度九年级第一学期期中检测试题(卷)英语A(统编版)答案,目前我们已经整理了陕西益卷 2022~2023学年度九年级第一学期期中检测试题(卷)英语A(统编版)答案的各科答案和试卷,更多试卷答案请关注本答案网。


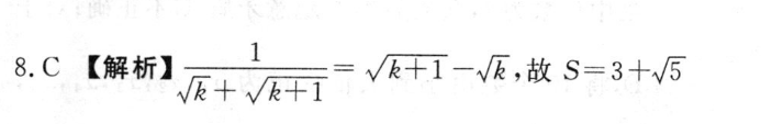
8.C【解析】+行=V-店,故s=3+6-√4十√6-√5+…+√k+1-√R=3一√4+√k+1=1十√R+I,若输出的值为17,则1+√+1=17,解得k=255.故选C.

0."a>0,c<0.d-2-b.d<0.b+d0.t4u9.A解析:知四.分胡过kI作M⊥BC,INLAC,●义力M,N.:I力△ABC的内心,.1D=h1=lN.AD-3,AE=5.DE+《.i2M-r,3x十5x=3X,得-是:批dA





