安徽鼎尖教育2022-2023学年高二11月联考语文答案
安徽鼎尖教育2022-2023学年高二11月联考语文答案,目前我们已经整理了安徽鼎尖教育2022-2023学年高二11月联考语文答案的各科答案和试卷,更多试卷答案请关注本答案网。

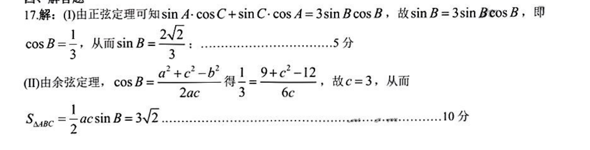
17.解:(①)由正弦定理可知sin A-cosC+sinC·cosA=3 sin Bcos B,故sinB=3 sin Beos B,即cos B=-2W2,从而sinB=.5分3四油余弦定理,c0sB=+c2-b1_9+c2-得2,故c=3,从而2ac36cSMune=acsin B-32m.10分

16.a≤0





