2023衡水金卷先享卷分科综合卷 新教材历史一 答案
2023衡水金卷先享卷分科综合卷 新教材历史一 答案,目前我们已经整理了2023衡水金卷先享卷分科综合卷 新教材历史一 答案的各科答案和试卷,更多试卷答案请关注本答案网。


mgd(R +R2)【答矣】〔1)gqR2dg24【解析】【带鲜】〔1)小球在电磁场作匀速岗周运动,则电场力与重力半衡,可得Eq igR2两端的电下U,Ed根做或姆定律得Eo一·RU:=R+R:联立鲜得E,="m8d(B,+R)qR,〔2)如图所示XX业RA3d设粒子在巾磁场中做圆用运动的半径为“,很据儿何关系鲜得r=2d板qvB m鲜得BV2dq(3)山川何关系可加,射出藏场时:小球速度方向与水平方向夹角列60”,要伏小球做线运动,当小球所受电场力与小球重力在远小球速度方向的分力闲等时,电场力最小,巾场强度最小,可得Eg mg cos 60解得王E=悠24



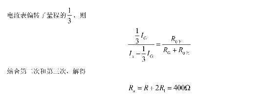
【答关】).人于②.×10第.向上.④.400【辨析】【详解】〔1)[]根送总可知R,





