2023年衡水金卷先享题分科综合卷 新教材数学一 答案
2023年衡水金卷先享题分科综合卷 新教材数学一 答案,目前我们已经整理了2023年衡水金卷先享题分科综合卷 新教材数学一 答案的各科答案和试卷,更多试卷答案请关注本答案网。

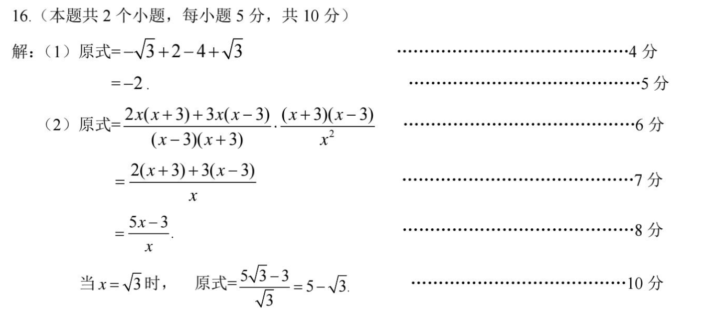
16.(本题共2个小题,每小题5分,共10分)解:(1)原式=-√3+2-4+√3…4分=-2.…5分(2)原式=2x(x+3)+3x(x-3)(x+3(x-3)…6分(x-3)(x+3)32(x+3)+3(x-3)…7分X5x-3…8分X当x=V3时,原式=55-3=5-5…10分3

17.解:(1)因为a0,b0,所以a110b-12v10a0,…2分所以a0·3分当上仪当a=10的=之时,等号城立,…4分所以山的最大慎为5分(2)因为十10h=1(a0,0)所以合-a十16(g+分)-l十81+2,8分新仅当公=0=9时,等号成立,…9发以-的朵小俏为1门+2顶,…10





