2023年衡水金卷先享卷文综三分科综合卷 新教材 答案
2023年衡水金卷先享卷文综三分科综合卷 新教材 答案,目前我们已经整理了2023年衡水金卷先享卷文综三分科综合卷 新教材 答案的各科答案和试卷,更多试卷答案请关注本答案网。


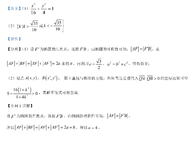
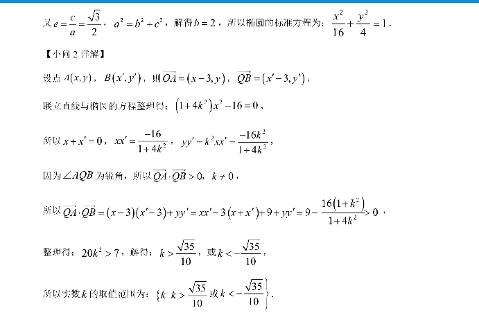
【答米】(1)=162)>压成<-1010【解析】【分析】(1)设F为椭因的左焦点,连接FB:山椭圆的对称性可风,AF=FB,出|4+5=h+a1=2a求得a,H利le-5.心-6+2,可行答紫2(2》设点A(x,y),B(x,),联立直线与椭医的方程,利用韦达定理代入2A·2B>0的坐标运算可得16(1+k2>0,再解不等式可得答突1+4k3【小问1详解】设F'为椭例的左焦点,连接FB,h精同的对称性可知,AF=FB,所以AF+BF=AF+AF1=2a=8,所以a-4,又e=S=a2=b2+c2,解得b=2,前以椭回的准方程为:x2+=102164【小问2详解】设点Axy),B(x,J,则OA=(x-3,y),QB=(x'-3,y,联立直线马与椭似的方程整坦得:(1+4k)x-16=0,新以x+x'-0,x'=1+42·少'='x'=-16脉-161+4k3因为∠1QB为锐角,所以QA·QB>0,k+0,所以Q1-QB=(-3-3+y=-3k*r+9+-9-16+01+4k2整弹得:20K:>7,解得:>35,皮<-5101035所以实数无的取位他国为:次太>西政k<-1010

【答案】(1)a,=3.2”(2)Z=3x2+r+tn-log,362【¥所】【分析】〔)根据趣中的等式,求解数列的丫项及公比可行数列的诓顶公式:(2》根福摄列{}的道项公式,求解山数列b,}的通项公式,再达用分如求和法求解潋列的前n项和.【详解】(1)记等比数列{4e}的公比为q,山《;-4≠0可知4≠1,a-4,=a9-4,=18:4+=4+49=18:解得4,=6,g=2,所以数列{an}的通项公式为8。-6·2-1-3.2”.(2):b。=an+l0g24.=3.2+l0g2(3,2")=3.2+n+k0g23,T,=3(2+2+…+2”)+(1+2++n)+n-l0g,33x2-2+++m-log,3=3x2+g+=3×1-22+n.log23-6.2





