慕华·优策2021-2022学年高三年级第一次联考理科数学试题答案
慕华·优策2021-2022学年高三年级第一次联考理科数学试题答案,目前我们趣对答案已经整理了慕华·优策2021-2022学年高三年级第一次联考理科数学试题答案的各科答案和试卷,更多试卷答案请关注本趣对答案。

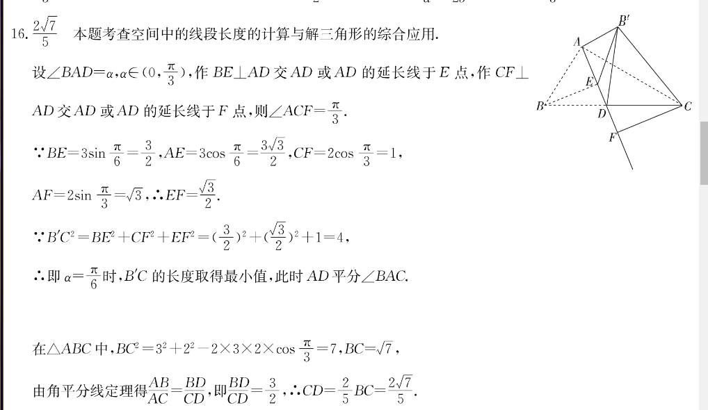
本题考查空间中的线段长度的计算与解三角形的综合应用设∠BAD=a,a∈(0,2),作BE⊥AD交AD或AD的延长线于E点,作CFAD交AD或AD的延长线于F点,则∠ACFCbasinCOSAF=2sin√3,∴EFB C2=BE+CF2+EF=(即a=6时,BC的长度取得最小值,此时AD平分∠BAC在△ABC中,BC=32+22-2×3×2×c0s5=7,BC=7由角平分线定理得A围,PCDBD=3,:CD=2BC=27AC CD

10.ABD本题考查三角函数的图象由图可知了=15-3=12,T=24,=2=兀由最大值为36,最小值为22,可知A=3629,故f(x)=7co(12+9)+29.将点(15,36)代入可得7cs(49)+29=36,007+9)=1:0





