[兰州一诊]2022年兰州高三诊断考试语文试题答案
[兰州一诊]2022年兰州高三诊断考试语文试题答案,目前我们已经整理了[兰州一诊]2022年兰州高三诊断考试语文试题答案的各科答案和试卷,更多试卷答案请关注本答案网。

6答案:D0 sin 0-+cos 0解析:因为tan0+tang coso singsinacom26所以sin20=。故选D

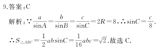
9.答案:C解析:C=2R=8,∴sinC=sina sinb sinc△ABCsinoabc=√2故选C16
[兰州一诊]2022年兰州高三诊断考试语文试题答案,目前我们已经整理了[兰州一诊]2022年兰州高三诊断考试语文试题答案的各科答案和试卷,更多试卷答案请关注本答案网。

6答案:D0 sin 0-+cos 0解析:因为tan0+tang coso singsinacom26所以sin20=。故选D

9.答案:C解析:C=2R=8,∴sinC=sina sinb sinc△ABCsinoabc=√2故选C16