贵州省2021-2022学年高一年级联考试卷(22-05-484A)语文答案
贵州省2021-2022学年高一年级联考试卷(22-05-484A)语文答案,目前我们已经整理了贵州省2021-2022学年高一年级联考试卷(22-05-484A)语文答案的各科答案和试卷,更多试卷答案请关注本答案网。

管:百】项部月可电面收新电阀色73,9C…分20.解:(1),四边形ABCD为正方形,.AB=AD当AE=5,BE=3.8,AB=12,.AD=1.2∴A点坐标为(5,1.2).代人y=中可得=5×1.2=6,4分(2)当B为AE中点时.如图1,设C点坐标为(m.0),则AD=n,AE=2m,代人可得员=m:m=5,m=一3(含去,图1此时C点坐标为(厅.0),此时A点坐标为(25③)。当B在第二象限时.如图2.设C点坐标为(n,0),则D点坐标为(一2n,0),此时CD--3n=AD,A点坐标为(-21.一3),代人y=可得一3一-总解得=-1心1K含去此时C点坐标为(一1.0),此时A点坐标为(2,3).图2综上所述A点坐标为(23③)或(2,3).…10分水周非八1331

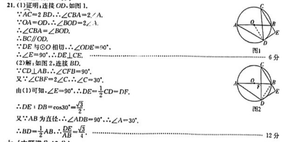
21.(1)证明:连接OD,如图1.,AC=2BD,∴∠CBA=2./A.,OA=OD,∴∠BOD=2∠1.∴.∠CBA=∠BOD..BC∥OD,DE与⊙O相切.∠ODE=90°.图1∠E=90°,DE⊥CE。…6分(2)解:如图2,连接BD.,CD⊥AB.∠CFB=90°.又,∠CBF=2∠C.∠C▣30由(1)可知,∠E=90'.∴.DE号CD-DF.六DE:DB=cos30'=图2又,AB为直径.∠ADB=90°,∠A=30°.BD-含AB∴-项AB12分





