2023届新高三摸底联考(新教材) 9月高三大联考生物答案
2023届新高三摸底联考(新教材) 9月高三大联考生物答案,目前我们已经整理了2023届新高三摸底联考(新教材) 9月高三大联考生物答案的各科答案和试卷,更多试卷答案请关注本答案网。


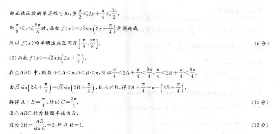
解:(1)函数f(x)=sin2x+2cos2x-1=sin2x+cos2x=2sin(2x+4)(3分)由0K<,得受<2x+
<由正贫品数的单调性可知,当登<2z十≤受中后

【答案】D【解析】国为0≤x≤x,所以晋≤2x十晋≤2x十吾周为函数f(x)在区间[0,]内有且仅有两个零点,令、5πfx)=0,则4os(2ar+后)-2=0,即cos(2ax+哥)=7,所以6≥31解得313≤w<12,2wπ+元7π6<3





