2023届黑龙江高三考试11月联考(904C·HLJ)英语试题答案
2023届黑龙江高三考试11月联考(904C·HLJ)英语试题答案,目前我们已经整理了2023届黑龙江高三考试11月联考(904C·HLJ)英语试题答案的各科答案和试卷,更多试卷答案请关注本答案网。

14.[品]【解析】由题设可知C2的曲线方程:g(x)=f(x+开)=sin(2x+否),令2k元+受≤2x+吾<2m+经,k∈Z.得版十音≤x≤kx+受∈Z.令k=0得C2在[0,π]上的单调减区间为[]


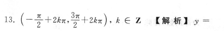
(-受+2kx,经+2kx),k∈Z【解析】y=13tam(-x+子)=-am(合x-晋),由-受+x,3r2x-1
<受+x,∈z,得-受+2x





