炎德英才 名校联考联合体 2023届高三第一次联考生物答案
炎德英才 名校联考联合体 2023届高三第一次联考生物答案,目前我们已经整理了炎德英才 名校联考联合体 2023届高三第一次联考生物答案的各科答案和试卷,更多试卷答案请关注本答案网。


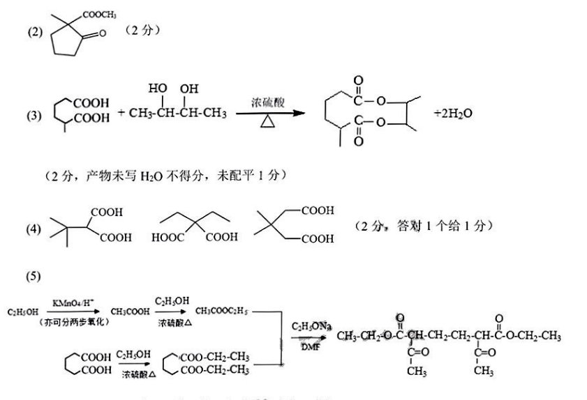
26.(I0分)(1)碳氯键(1分,答氯原子不给分)NaOH醇溶液、加热(1分,缺加热不给分)COOCH2)(2分)HO OHCOOH浓硫酸(3)COOH CH3-CH-CH-CH3△+2H20(2分,产物未写H20不得分,未配平1分)COOHCOOH入(4)(2分,答对1个给1分)COOH(5)KMn04/HCH;OHC:HsOHCH COOHCH]COOC:Hs(亦可分两步氧化)浓疏酸△C:H ONaCH:-CH2-O-C-CH-CH2-CH2-CH-C-O-CH2-CH;DMFCOOH C.HOH人COO-CH2-CH3C=0C=0COOH浓砖酸△COO-CH2-CH3CHCH;

1.D【解析】价值量是等价交换的基础,①错误。以碳排放配额作为基础商品,实现碳排放权交易,这是将碳排放权当作商品买卖,价值规律对供需双方都能发挥作用,②正确。排放权交易属于市场型工具,即相对市场化的减排工具,不属于金融市场上的金融工具,排除③。“如果企业的配额不够用,就要自掏腰包去市场买:如果企业节能减排做得好,配额用不了,就可以去市场卖”意味着碳交易会增加排放企业的成本,碳交易的收益可替代部分政策性补贴,④正确。





