衡中同卷 2022-2023学年度上学期高三年级期中考试(新高考版)数学答案
衡中同卷 2022-2023学年度上学期高三年级期中考试(新高考版)数学答案,目前我们已经整理了衡中同卷 2022-2023学年度上学期高三年级期中考试(新高考版)数学答案的各科答案和试卷,更多试卷答案请关注本答案网。


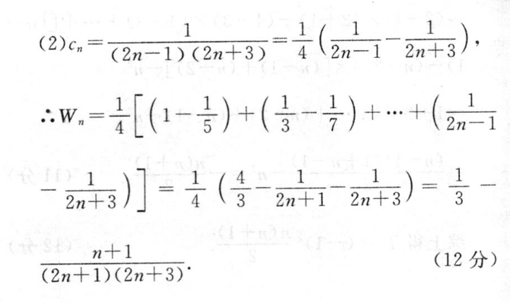
18.解:(1)am是Sm和1的等差中项,∴.Sn=2an一1,当n≥2时,an=Sn-Sn-1=(2am-1)-(2am-1-1)=2an2am-1,∴.an=2an-1y(2分)当n=1时,a1=S1=2a1-1.0=1且a,≠0.∴2-=2(m≥2a.)是首项为1,公比为2的等比数列,(3分)an=2m-1,Sm=2m-1.(6分)设{bn}的公差为d,b1=一S4=-15,b=-15+8d=1,.d=2,(7分)∴.bn=-15+(n-1)×2=2n-17.(8分)1(2)cm=2m-2m+=是(202n十3).w.=[(1-)+(号-)++(2-门-7(合十如+)=吉n+1(12分)(2n+1)(2m+3)


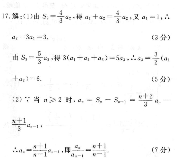
1.解:(1D由S,=号a:得a十a:=手c,又a=14a2=3a1=3.(3分)由5,=号a得30a十a十a,)=5aa,=号(a十a2)=6.(5分)(2):当n≥2时,an=S。-Sn1=n+23an-n+130-1,n-ia-1,即a,=n+1n+1(7分)an-1n-11an=an dn-1.....a3,a2。a1an-1 an-2a2arn2…告是1时1.(8分)n+1n2又a1=1满足上式.(9分)a=n(n+1)(10分)2





