江西省2023-2023学年度八年级上学期期中阶段评估[2L]各科试题及答案
江西省2023-2023学年度八年级上学期期中阶段评估[2L]各科试题及答案,目前我们已经整理了江西省2023-2023学年度八年级上学期期中阶段评估[2L]各科试题及答案的各科答案和试卷,更多试卷答案请关注本答案网。


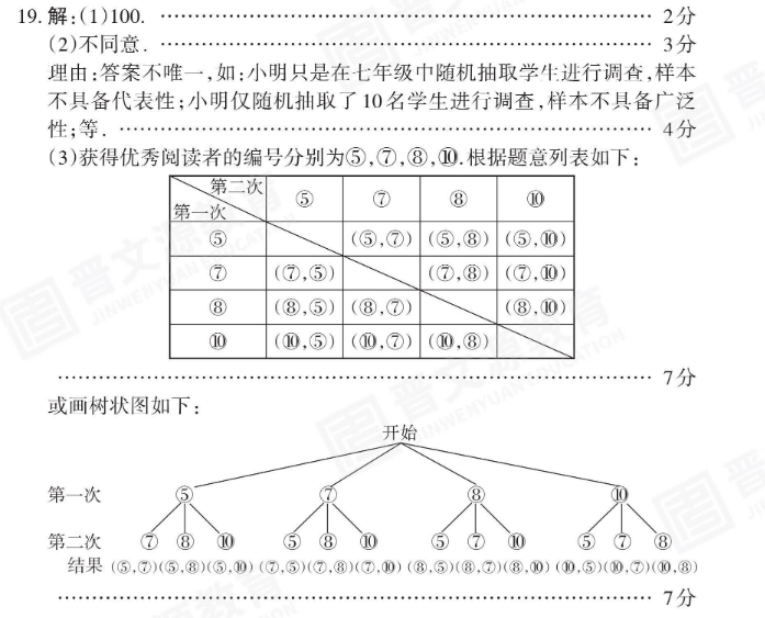
19.解:(1)100.2分(2)不同意3分理由:答案不唯一,如:小明只是在七年级巾随机抽取学牛进行调查,样本不具备代表性:小明仅随机抽取了10名学生进行调查,样本不具备广泛性;等.……4分(3)获得优秀阅读者的编号分别为⑤,⑦,⑧,①.根据题意列表如下:第二次⑦⑧第一次⑤(⑤,⑦)(⑤,⑧)(⑤,0)】⑦(⑦,⑤)(⑦,⑧)(⑦,0)⑧(⑧,⑤)(⑧,⑦)(⑧,0)0(0,⑤)(0,⑦)(0,⑧)7分或画树状图如下:开始第一次810第二次⑦0⑤⑧0⑤⑦10⑤⑦8结果(⑤,⑦)(⑤.8)(⑤.0)(⑦,⑤)(⑦,8)(⑦.0)(⑧.⑤)(⑧,⑦)(8,00)(00,⑤)(00,⑦)(0,8】…7分由列表(或画树状图)可知,共有12种等可能出现的结果,其中被选中的两名同学的平均每周课外阅读时间都是160min的结果有2种.…9分2所以,P(被选中的两名同学的平均每周课外阅读时间都是160min)=1210分6


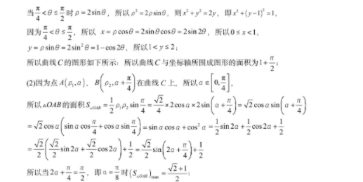
故a的取值范围为L,m).22.【i详解】(1)当0s6s时p=2c0s8,所以p2=2pcos8.则2+y=2x,即(x-+l,因为0≤0≤于x=pcos8=2c0s8=c0s28+1,所以1sxs2,又y=psin0-2sin8cos8=2sin29,所以0sys1:当子c85时p=2血8,所以。=2p血0,则+广=2,即+0-l旷=l因为子<0号所以=pcos8-2in9cos0-20n29,所以05r





