2023届普通高等学校招生全国统一考试 12月青桐鸣大联考(高三)(新教材)生物试卷答案(更新中)
2023届普通高等学校招生全国统一考试 12月青桐鸣大联考(高三)(新教材)生物试卷答案(更新中),目前我们已经整理了2023届普通高等学校招生全国统一考试 12月青桐鸣大联考(高三)(新教材)生物试卷答案(更新中)的各科答案和试卷,更多试卷答案请关注本答案网。

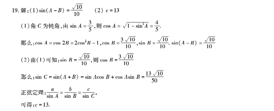
19解:(1)sin(4-B)=010(2)c=13(1)角C为钝角,HsmA=亏,则c0sA=个-A-43那么:00sA=c0s2B=2cs2B-1,0s月=3010,sin B=1010sin(A-B)=,0(2)由(1)可知:sinB=0,则s月.3,10那么:si血C=sin(4+B)=sin4cosB+cos Asin B-13D50正弦定理:a=bsin A sin B sin C'可得:c=13.

21.D细节理解是题。根据Lunar Samples No.O01:Witness of China's Space Dream部分中的Place:West Hall,National Museum of China知,如果你想看月球样品,可以去中国国家博物馆。22.B细节理解题。根据Silent Thunder部分中的It is open from March6 till May23以及Time:Monday to Sunday,10:00-19:00 (last entry at18:30)可知答案。23.C细节理解题。根据Christopher Le Brun:ASense of Sight部分中的Featuring his paintingsand sculptures through almost 50 years,the ex-hibition shows the development of the abstract inhis work可知,在A Sense of Sight艺术展中,你可以看到的抽象画。





