2023届天一大联考 高考全真模拟卷 老高考(七)英语试卷答案(更新中)
2023届天一大联考 高考全真模拟卷 老高考(七)英语试卷答案(更新中),目前我们已经整理了2023届天一大联考 高考全真模拟卷 老高考(七)英语试卷答案(更新中)的各科答案和试卷,更多试卷答案请关注本答案网。

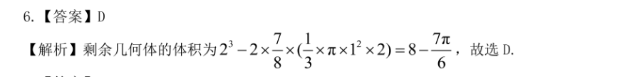
6.【答案】D【解析】利余儿有体的体积为2-2×日×兮×元×1P×2)=8-7石,故选D.716

5.【答案】B【解析】cosx=3W10则s5im(5-29=6os2x=2cosx-1=2×(3:-1=号,故选B.1010





