2023届牡丹江地区六校高三12月联考(23042C)地理试卷答案(更新中)
2023届牡丹江地区六校高三12月联考(23042C)地理试卷答案(更新中),目前我们已经整理了2023届牡丹江地区六校高三12月联考(23042C)地理试卷答案(更新中)的各科答案和试卷,更多试卷答案请关注本答案网。

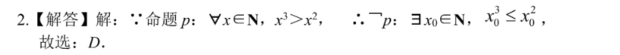
2.【解答】解:命题p:x∈N,x3>x2,.一p:目o∈N,x≤,故选:D

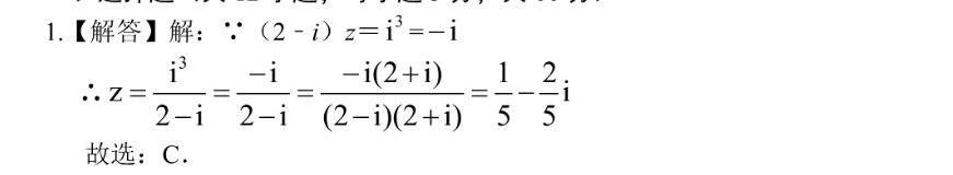
1.【解答】解:.(2-i)z=i3=-i.Z=i3-1=-i(2+i)=1_2:2-i2-i(2-i)2+i)55故选:C.





