2023届辽宁省高三12月联考(23-164C)生物试卷答案(更新中)
2023届辽宁省高三12月联考(23-164C)生物试卷答案(更新中),目前我们已经整理了2023届辽宁省高三12月联考(23-164C)生物试卷答案(更新中)的各科答案和试卷,更多试卷答案请关注本答案网。

3.A【解析】公安机关深入推进“净网2021”专项行动,共侦破案件6.2万余起,抓获犯罪嫌疑人10.3万余名,行政处罚违法互联网企业、单位2.7万余家,充分说明我国社会主义民主是最真实、最管用的民主,民主与专政相辅相成,专政是民主的有力保障,①③符合题意;遵守宪法和法律是公民的义务,②错误;公民参与管理国家的基础和标志是选举权和被选举权,④错误。

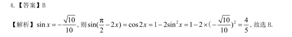
4.【答案】B【解析】sinx=--则sin(-2x))=cos2x=1-2sin2x=1-2x(-0y=4故选B.1010





