湖南省张家界市2022年普通高中二年级第一学期期末联考数学试题答案
湖南省张家界市2022年普通高中二年级第一学期期末联考数学试题答案,目前我们已经整理了湖南省张家界市2022年普通高中二年级第一学期期末联考数学试题答案的各科答案和试卷,更多试卷答案请关注本答案网。

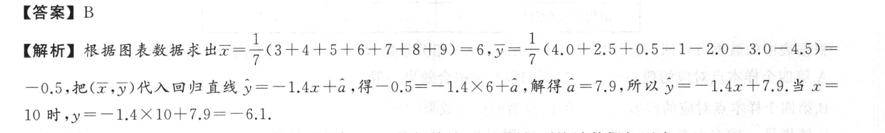
【答案】B【解析】根据图表数据求出x=7(3+4+5+6+7+8+9)=6,y=7(4.0+2.5+0.5-1-2.0-3.0一4.5)=7-0.5,把(x,y)代入回归直线y=一1.4x十a,得-0.5=-1.4×6+a,解得a=7.9,所以y=一1.4x+7.9.当x=10时,y=-1.4×10+7.9=-6.1.

【答案】D【解析】由题意得x=5,y=196十m设样本中心为(5,y),由y=6.5x十17.5,得y=50,可得m=54.当x=6时,5预报变量为y=56.5,所以样本,点(6,m)的残差为54-56.5=一2.5.





