皖南八校2022届高三上学期1月月考联考(223472D)文科数学试题答案
皖南八校2022届高三上学期1月月考联考(223472D)文科数学试题答案,目前我们趣对答案已经整理了皖南八校2022届高三上学期1月月考联考(223472D)文科数学试题答案的各科答案和试卷,更多试卷答案请关注本趣对答案。

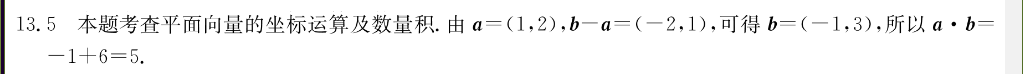
13.5本题考査平面向量的坐标运算及数量积.由a=(1,2),b-a=(-2,1),可得b=(-1,3),所以a·b

20.解:本题考查线面垂直与二面角(1)∵∠ACB=90°,∴AC⊥BC,CC1⊥平面ABC,AC⊥CC1,CC∩BC=C,∴AC⊥平面BCCB1C1EC平面BCCB1,∴AC⊥C1EBIE BCAB=2BC=B1…B(CiB1B2…∠ECB1=∠CB1B,∠EC1B1+∠C1B1C=∠CB1B+∠C1B1C=90,∴B1C⊥C1E又∵BCC平面ACB1,AC平面ACB1,B1C∩AC=CC1E⊥平面ACB1分(2)不妨设AC=BC=√2,则AB=BB1B如图,以C为原点,CA,CB.CC1所在的直线分别为x,y,z轴,建立空间直角坐标系,则C(0,0,2),D(0,0,1),A(2,0,0),B1(0,2,2),E(0,21),DB1=(0,2,1),DA=(2,0,-1)EDDB-2y+2=设n=(x,y,z)为平面ADB1的一个法向量,则)A=√2令z=√2,得x=1,y由(1)知C1E=(0,2,-1)为平面ACB1的一个法向量,设二面角C-AB1-D的平面角为0,由图知0∈(0,分)CE·n_22√6√3×面角C-AB1-D的余弦值为12分





