海淀区2021-2022学年第一学期期末练习(2022.1)化学试题答案
海淀区2021-2022学年第一学期期末练习(2022.1)化学试题答案,目前我们趣对答案已经整理了海淀区2021-2022学年第一学期期末练习(2022.1)化学试题答案的各科答案和试卷,更多试卷答案请关注本趣对答案。


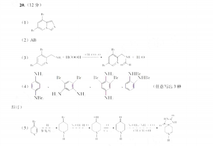
16.(10分)(1)3d°:9(2)正四体:12(3)①1解析:(1)Cu核外价电子排布式为3,核外电子空间运动状态是指原子轨数,故答案为9(2)B原子米用驴p3杂化,故[B(OH)的空间构型为正四面体型,1mol[ Sn(oH k2含有6mol氧氢共价键和6mol锡氧共价键,共12m(3)原子2处于晶胞分成的8小立方体的最左上角的立方体的体心,故原子2的分数坐标为();个P原子在晶胞内形成正四面体,其中一个P原子在体对角线,故投y0=·设品胞边长为体对角线长度√…+√5a,品中含4个GaP,顾量为密度为、1g,cm:答案为、




20.(12分)(2)AB+(NIll:\Ill:r(+任意写出3种H N订)1化析:1)A→B,结构上多出一个经基,可以推A的结构为由B→C,结构上少个氧,对比G的结构可知,B(H)变成的C的结构应为一个Br.根据所给信思①,对比G的结构,E的结构为N:E→F,结含倍思2,F的结构为(2)D结构中有钟飘基,有碱性:B结构上有Br原子,可以和aOH溶液发生取代反应:F上无醛基,不能发生银镜反应:G的分子式为C1 HrNs OBr,故选AB(3)A→反应方程式为:..(N+I(4)由录件,A的同升异构停有SIl:t1:11:SitNH(5)合成的关提,要合成由4溴吡啶()经过吡啶环的加成,Br原子的取代,醉的罩化即可含成因此合含成路线为





