2022届贵阳一中高考适应性月考(五)5理科数学试题答案
2022届贵阳一中高考适应性月考(五)5理科数学试题答案,目前我们趣对答案已经整理了2022届贵阳一中高考适应性月考(五)5理科数学试题答案的各科答案和试卷,更多试卷答案请关注本趣对答案。

23解:(1)f(x)=2|x-1|1x+1F={-3x+1-1≤x≤L因为f(x)21①当x>1时,x-3≥1,得x≥4,所以x≥4分②当-1≤x≤1时,-3x+1≥1,得x≤0,所以-1≤x≤03分③当x<-1时,-x+3≥1,得x≤2,所以x<-14分综上可得不等式f(x)≥1的解集为{x|x≥4或x≤0…………5分(2)对vx∈R,f(x)>m-13x+3恒成立,即m


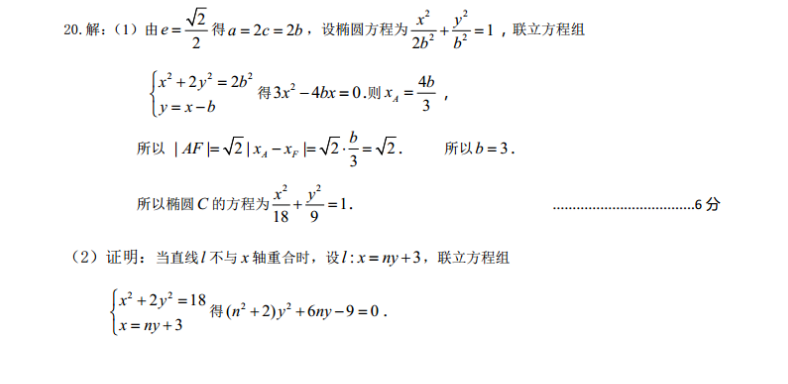
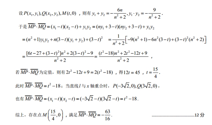
√220.解:(1)由e=得a=2c=2b,设椭圆方程为=1,联立方程组b得3x2-4bx=0.则xA-3所以|AF=√2|x4-x=√2.=√2,所以b=3所以椭圆C的方程为+2=16分(2)证明:当直线l不与x轴重合时,设l:x=m+3,联立方程组得(n2+2)y2+6ny-9=0设P(x1,y),Q(x2,y2),M(,0),则有y1+y2=y1.2于是MP·MQ=(x1-1)(x2-1)+yy2=(my1+3-1)(my2+3-1)+yy2=(n2+1)yy2+m3-0n+y2)+(3-1)29(n2+1)-6n2(3-1)+(3-0)(n2+2)6r-27+(3-1)}n2+2(3-1)2-9_(2-18)n2+22-12+9若丽FMD为定值,则有212-12+9=2(2-18),得12=45,t=15此时丽M=2-18:当直线l与x轴重合时,P(-32,0,Q(32,0也有MPM=(x-(x2-1)=(3√2-1(3√2-1)=12-18综上,存在点M,0,满足MP·MQ=分





